2024 vs 2025: What’s Changing in Britain’s Financial Health?
The Economic Wellbeing Explorer (EWE) has now been refreshed with data up to 26th October 2025. Drawing on de-identified banking data from 5 million GB banking customers, the Explorer sheds light on national, regional and local patterns in economic wellbeing through three key indicators:
- Overdrawn accounts: the proportion of people who become overdrawn on 2+ occasions in a month
- Living beyond means: spending 120% or more of monthly income
- Low emergency resilience: account balances falling below £100 on 2+ occasions in a month
A snapshot across the nations shows:
| Scotland | England | Wales |
Overdrawn accounts | 16% | 17% | 18% |
Living beyond means | 12% | 13% | 12% |
Low emergency resilience | 35% | 37% | 39% |
On their own, these indicators highlight seasonal patterns and shifts following policy or economic changes. Combined with contextual data, they help reveal the underlying drivers of poverty, inequality and financial vulnerability in different parts of Great Britain.
As we approach the end of 2025, this blog explores what the latest update tells us about year-on-year (YoY) economic wellbeing across England, Scotland and Wales and what these trends might tell us about how different regions and age groups are faring. Anyone can request access to the Explorer to explore the data in more detail via myFoundry, our secure data platform.
First, let’s take a look at each of our indicators this month:
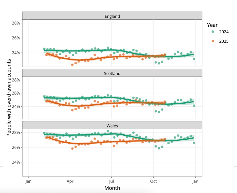
Overdrawn Accounts
Nationally, the proportion of overdrawn accounts tracked 1% below 2024 for the first half of 2025. By autumn, that gap had narrowed to 0.5%, and levels are now edging above 2024 figures, though still following a similar seasonal pattern.
How does this play out across different age groups?
18–39 year olds
A similar proportion of young adults are overdrawn compared with last year: around a quarter in England and Scotland, and 28% in Wales. These levels remained 1–2% lower for most of 2025, but an upward trend is now emerging, echoing last year’s rise as people begin to spread festive spending.
40–69 year olds
Trends mirrored 2024 until August, when 2025 saw an upward shift while 2024 declined. Overdrawn levels remain lower than among younger adults but still significant: 19% in England, 17% in Scotland, and 20% in Wales.
Over 70s
Only 4% in England, 3.5% in Scotland and 4.5% in Wales are regularly overdrawn. However, this group is trending slightly higher across the full year, diverging from younger cohorts whose 2025 figures rose above 2024 from summer onwards.
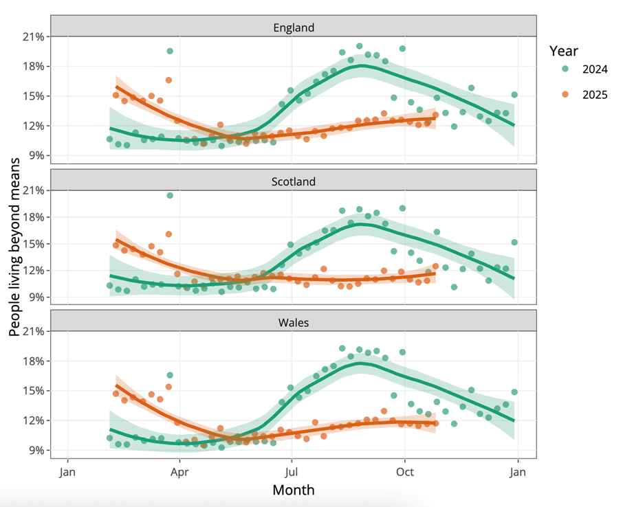
Living Beyond Means
Across Great Britain, the proportion of people spending more than 120% of their income shows similar seasonal patterns, with genuine YoY improvements.
In all three nations, the first half of the year saw a decline in people living beyond their means. In 2024, a notable summer spike emerged before easing into autumn (with a small festive rise). In 2025, no such spike is present, though there is a slight increase later in the year.
How does this play out across different age groups?
The pattern is consistent across age brackets:
- 18–39 year olds: 8–12%
- 40–69 year olds: around 12%
- Over 70s: 15–18%
The higher proportion among over 70s may reflect lower regular income from salaries for pensioners; this is reflected in their much lower rates of overdrawn accounts and low emergency resilience and suggests many in this group rely on savings to top up their pensions.
Low Emergency Resilience
Low emergency resilience remains the most widespread financial vulnerability in the dataset.
Across GB, resilience levels tracked 1–2% below 2024 until summer, when the proportion of people with under £100 in their account overtook 2024 levels and has continued climbing.
Levels of Low Emergency Resilience are high across the board, with Wales at 39% - the highest of the three nations.
How does this play out across different age groups?
18–39 year olds
Scotland and England show similar proportions ( 55–56% ), while Wales is notably higher at 60%, meaning nearly two thirds of young Welsh account holders have minimal financial buffer.
40–69 year olds
This group shows a strong post-summer rise, outpacing 2024 by 1.5% in England and Scotland, and 2.1% in Wales. Wales again has the highest level at 40%.
If this pace continues, the proportion could surpass 41% for the first time in the dataset. This aligns with insights from the Economic Nowcast, which shows fluctuating incomes since summer, potentially eroding financial buffers.
Over 70s
Rates remain far lower at 9–11%, though they are trending around 1% higher YoY and, unlike last year, 2025 has not seen an autumn dip.
What’s Driving These Trends?
The 2025 data suggests a mixed picture: some improvements in spending-to-income ratios, but persistent - and in some cases worsening - vulnerability when it comes to emergency buffers. Several factors may help explain these patterns:
- Income volatility: With average incomes fluctuating month to month over the year, households may have struggled to build resilience or rebuild depleted savings, contributing to rising low-resilience levels. See our Nowcast updates for more detail on incomes across 2025.
- Cost-of-living pressures: Although inflation has eased compared with earlier peaks, essential costs like housing, food and energy remain elevated. Even modest price rises may be enough to push people with thin margins into becoming overdrawn or reducing their financial buffer.
- Seasonal behaviour: As seen in previous years, autumn often brings increased spending – back to school costs and paying off summer holidays being likely culprits, alongside reduced incomes from seasonal work. See our piece in The Scotsman on the costs of summer holidays.
- Generational differences in income sources: Older adults’ comparatively stable pension income and likely greater access to savings helps explain lower rates of overdrawn accounts and stronger emergency resilience, even as a modest YoY increase emerges.
- Regional disparities: Wales consistently shows higher financial vulnerability across all indicators. This may reflect differences in average incomes, labour market conditions, or regional cost pressures.
Overall, while some indicators show improvement, the rise in low emergency resilience, especially among working-age groups, highlights ongoing economic fragility. The Economic Wellbeing Explorer will continue to track these patterns to help policymakers, local authorities, NGOs and researchers to understand where support is most needed and how financial wellbeing is evolving across Great Britain.

